
2026 Idaho Primary Survey
The Idaho Second Amendment Alliance conducts a survey of political candidates each election cycle to determine where they stand on specific issues related to the Second Amendment. Some questions relate to specific state legislation we are seeking to implement or oppose, and others are broader in nature.
The ISAA Candidate Survey serves to inform the public about where candidates stand on these issues, and we expect those seeking office to be willing to put their name on public record on where they stand on one of the most, if not the most, important issues to Idahoans.
If you have questions regarding the survey, you may contact ISAA President Greg Pruett at [email protected].
Click on a heading below to see more!
Survey Questions (Updated for 2026)
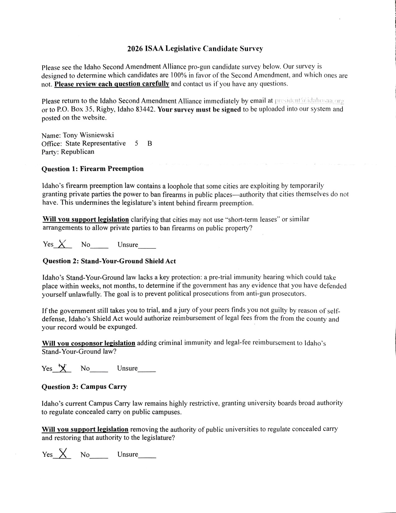
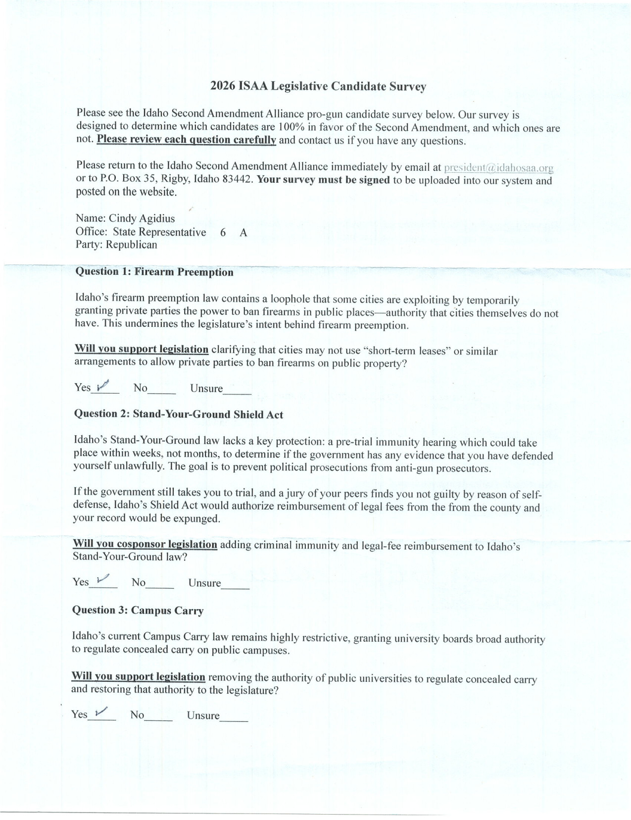
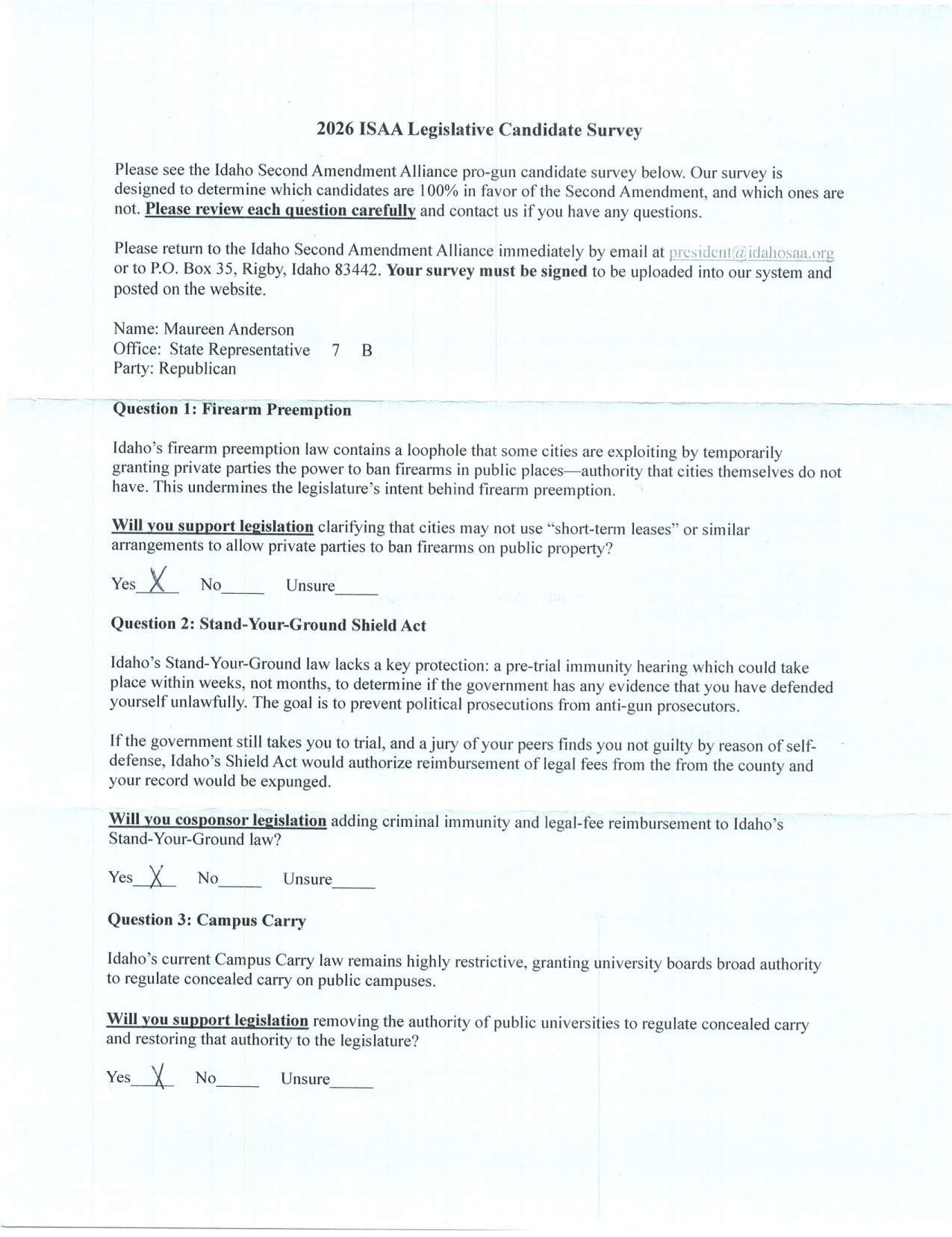
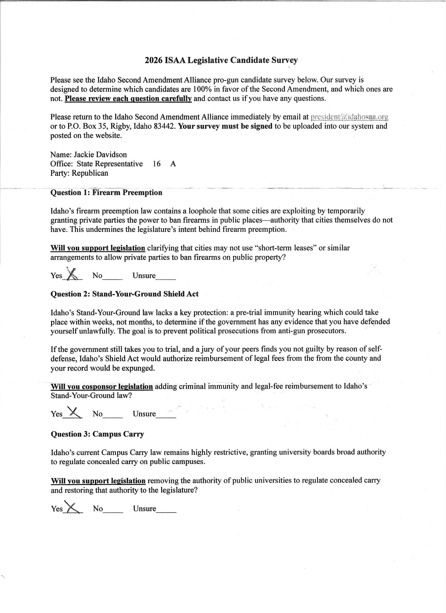
Question 1: Firearm Preemption
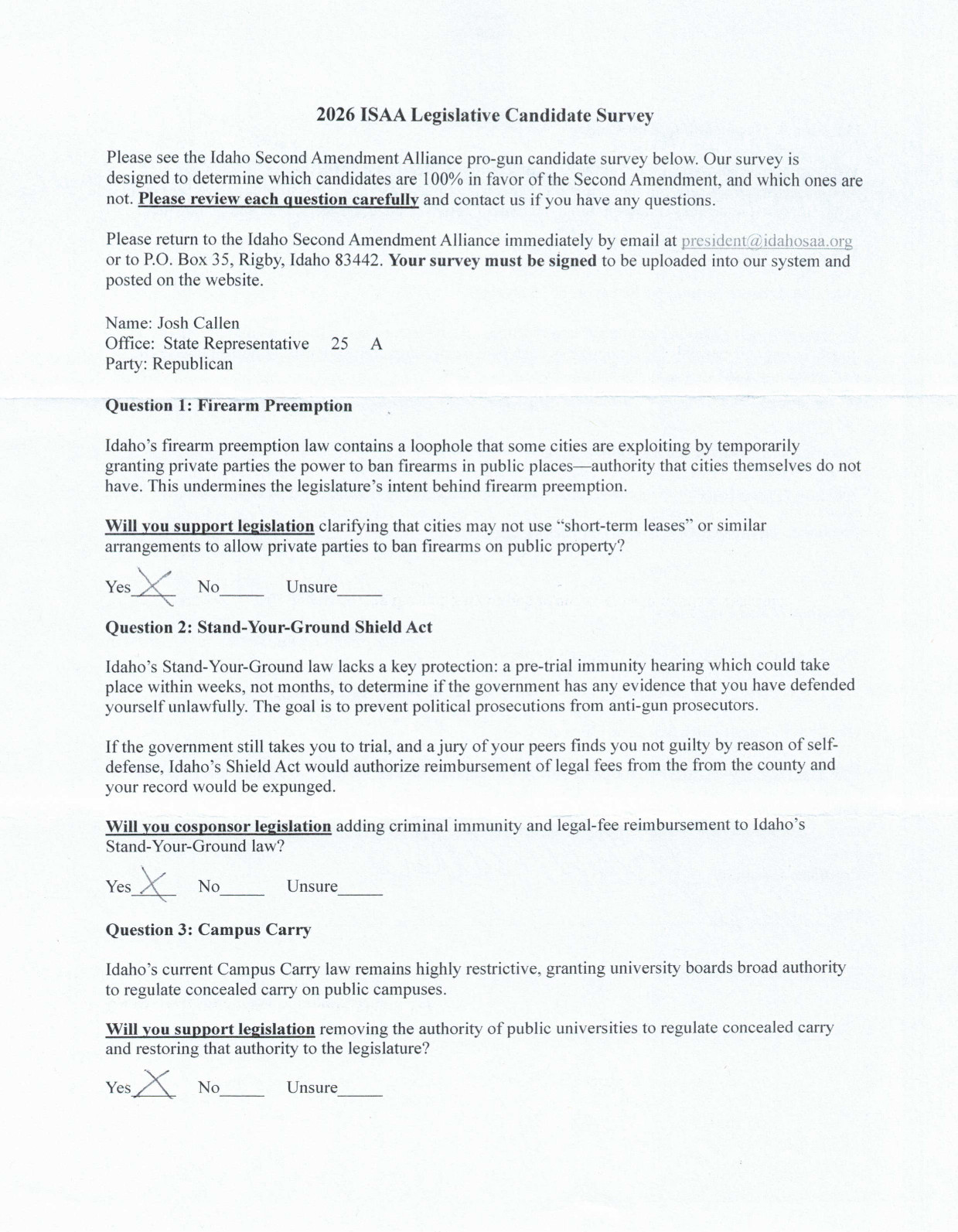
Idaho’s firearm preemption law contains a loophole that some cities are exploiting by temporarily granting private parties the power to ban firearms in public places—authority that cities themselves do not have. This undermines the legislature’s intent behind firearm preemption.
Will you support legislation clarifying that cities may not use “short‑term leases” or similar arrangements to allow private parties to ban firearms on public property?
Question 2: Stand‑Your‑Ground Shield Act
Idaho’s Stand‑Your‑Ground law lacks a key protection: a pre-trial immunity hearing which could take place within weeks, not months, to determine if the government has any evidence that you have defended yourself unlawfully. The goal is to prevent political prosecutions from anti-gun prosecutors.
If the government still takes you to trial, and a jury of your peers finds you not guilty by reason of self-defense, Idaho’s Shield Act would authorize reimbursement of legal fees from the from the county and your record would be expunged.
Will you cosponsor legislation adding criminal immunity and legal‑fee reimbursement to Idaho’s Stand‑Your‑Ground law?
Question 3: Campus Carry
Idaho’s current Campus Carry law remains highly restrictive, granting university boards broad authority to regulate concealed carry on public campuses.
Will you support legislation removing the authority of public universities to regulate concealed carry and restoring that authority to the legislature?
Question 4: Opposition to Gun Control
Will you oppose all forms of gun control, including those often labeled “reasonable”—such as prohibiting firearm ownership for simple misdemeanor convictions, raising the minimum age for lawful carry, imposing new taxes on ammunition, or creating new systems to track firearms and gun owners?
Question 5: Semi‑Automatic Firearms & Magazines
Do you oppose legislation banning the manufacture, sale, or possession of semi‑automatic firearms or magazines of any capacity, recognizing that such bans do not stop crime but instead burden law‑abiding gun owners and violate the Second Amendment?
Question 6: Universal Background Checks
Will you oppose legislation implementing “Universal Background Checks,” which would require law‑abiding citizens to undergo government‑mandated background checks even when transferring firearms to family members, friends, or acquaintances?
Question 7: Red Flag Laws
Do you oppose all forms of Red Flag Gun Confiscation Orders?
Question 8: Ballot‑Initiative Gun Control
Will you vote to overturn any form of gun control that may be enacted through a ballot initiative?
Candidate Responses
[Position sought] — [Candidate name] — [Survey Response Summary]
Idaho Senate
Idaho House
District 23, House (Seat A) — Chris Bruce (R) — 100% Pro-2nd Amendment Answers


District 25, House (Seat B) — David J. Leavitt (R) — 100% Pro-2nd Amendment Answers






























































































































































