
2025 Local Candidate Survey
The Idaho Second Amendment Alliance conducts a survey of political candidates each election cycle to determine where they stand on specific issues related to the Second Amendment. Some questions relate to specific state legislation we are seeking to implement or oppose and others are broader in nature.
The ISAA Candidate Survey serves to inform the public about where candidates stand on these issues and we expect those seeking office to be willing to put their name on public record on where they stand on one of the most, if not the most, important issues to Idahoans.
If you have questions regarding the survey, you may contact ISAA President Greg Pruett at [email protected].
Click on a heading below to see more!
Survey Questions
Question 1
Idaho’s firearm preemption law currently prohibits cities from regulating firearms at the city level. Some states, like Washington, are removing their preemption law, allowing cities to regulate firearms more.
Do you support Idaho’s firearm preemption law, which prohibits cities from enacting their own gun control ordinances?
Question 2
Some states have enacted “Red Flag” laws that allow courts to confiscate firearms from individuals who haven’t been charged or convicted of a crime. These orders often last a year or more and are issued without the individual’s knowledge or opportunity to respond prior to the firearms being taken.
Do you support or oppose Red Flag laws?
Question 3
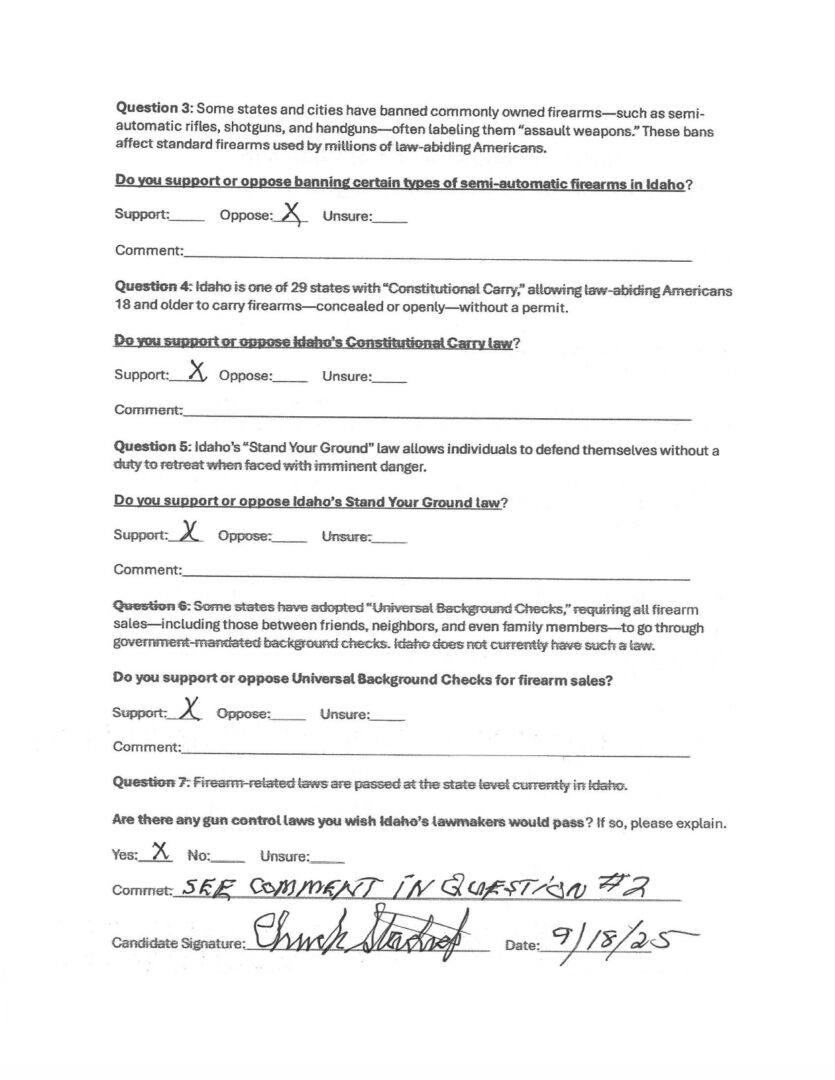
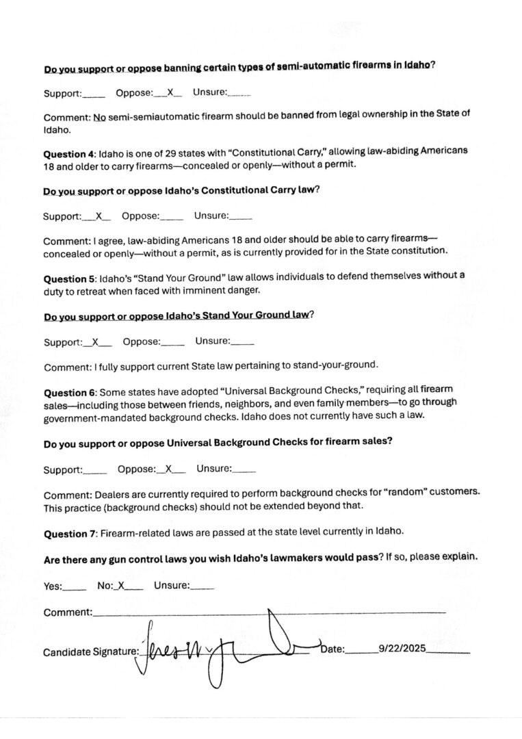
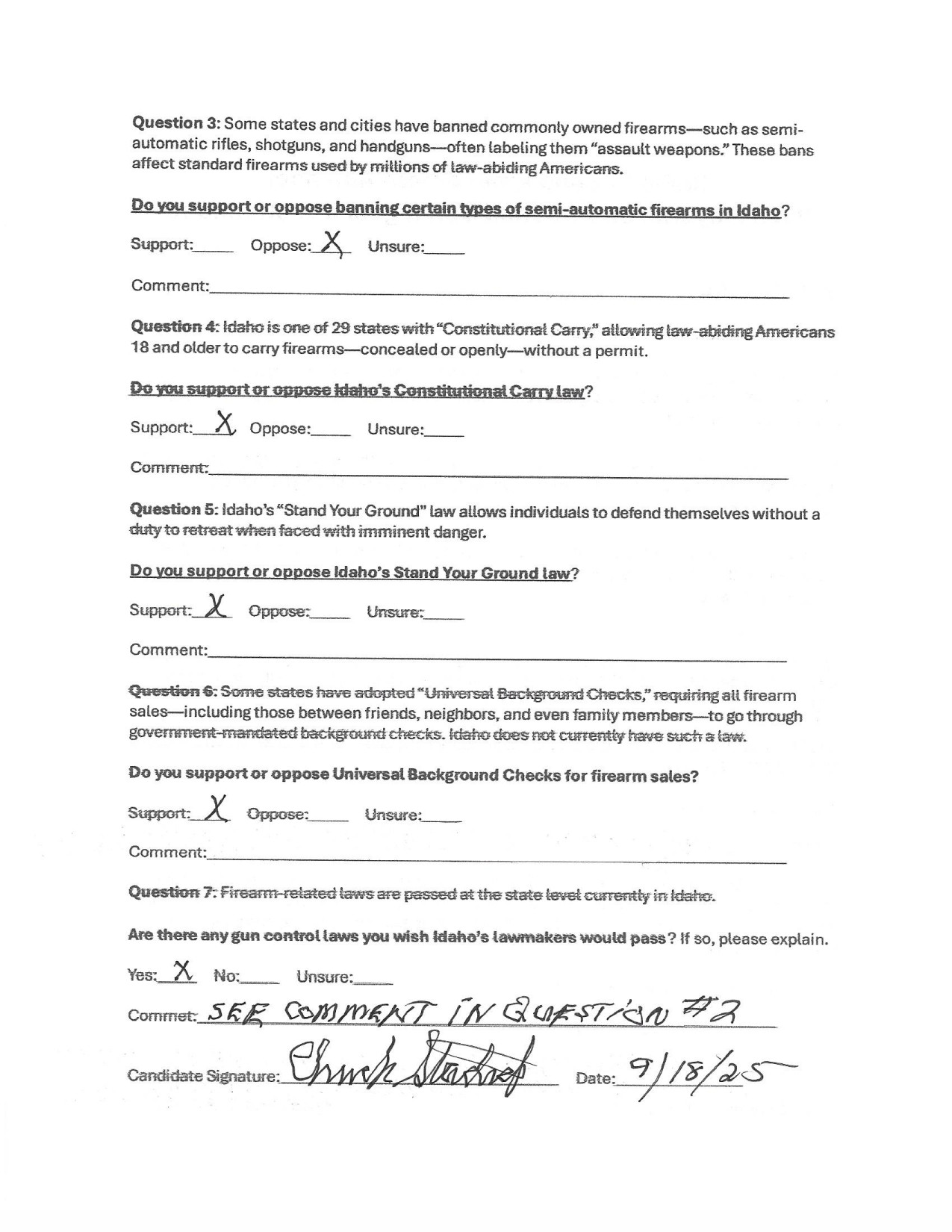
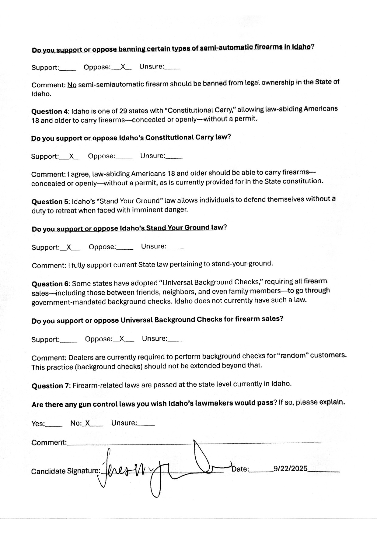
Some states and cities have banned commonly owned firearms—such as semi-automatic rifles, shotguns, and handguns—often labeling them “assault weapons.” These bans affect standard firearms used by millions of law-abiding Americans.
Do you support or oppose banning certain types of semi-automatic firearms in Idaho?
Question 4
Idaho is one of 29 states with “Constitutional Carry,” allowing law-abiding Americans 18 and older to carry firearms—concealed or openly—without a permit.
Do you support or oppose Idaho’s Constitutional Carry law?
Question 5
Idaho’s “Stand Your Ground” law allows individuals to defend themselves without a duty to retreat when faced with imminent danger.
Do you support or oppose Idaho’s Stand Your Ground law?
Question 6
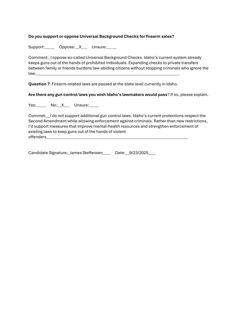
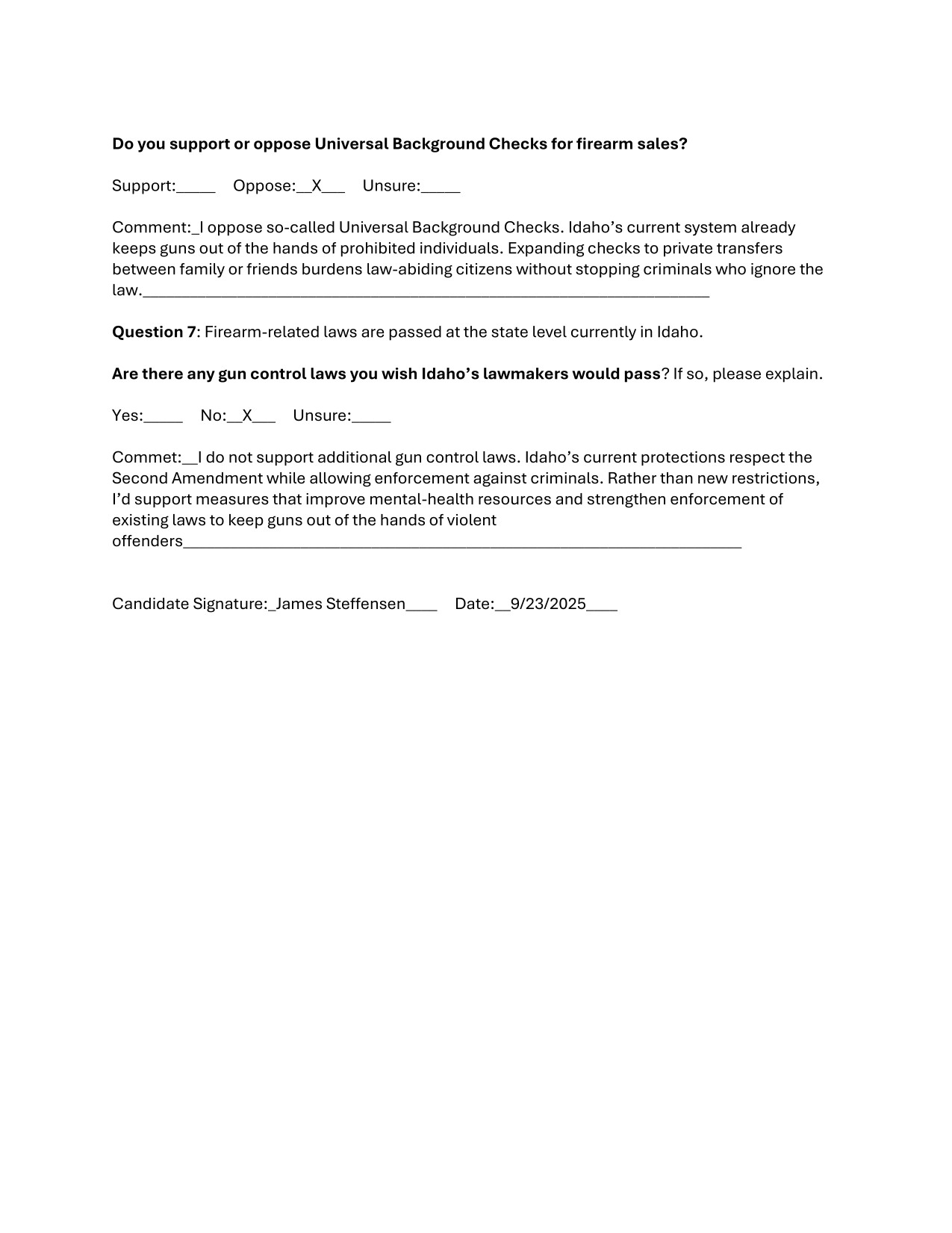
Some states have adopted “Universal Background Checks,” requiring all firearm sales—including those between friends, neighbors, and even family members—to go through government-mandated background checks. Idaho does not currently have such a law.
Do you support or oppose Universal Background Checks for firearm sales?
Question 7
Firearm-related laws are passed at the state level currently in Idaho.
Are there any gun control laws you wish Idaho’s lawmakers would pass? If so, please explain.
Candidate Responses
[Position sought] — [Candidate name]
Boise, Idaho
Caldwell, Idaho
Coeur d’Alene, Idaho
Eagle, Idaho
Idaho Falls, Idaho
Kuna, Idaho
Lewiston, Idaho
Moscow, Idaho
Mountain Home, Idaho
Nampa, Idaho
Pocatello, Idaho
Post Falls, Idaho
Rexburg, Idaho




































































































